Berechnung der Leistung über Bernoulli

Die Bernoulli’sche Druckgleichung beschreibt den Gesamtdruck eines Fluidums mit der Dichte als Summe der drei Druckkomponenten:

  • Atmosphärischer Druck (p0) in offenen Systemen

  • Hydrostatischer Druck

  • Dynamischer Druck bzw. Staudruck.

Der hydrostatische Druck wird nach Blaise Pascal vorwiegend durch die Höhe als variable Größe bestimmt:

Hydrostatischer Druck   (Gleichung 1)

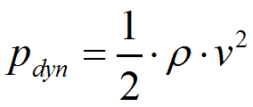
Der dynamische Druck wird dagegen durch die Geschwindigkeit beeinflusst:

Dynamischer Druck    (Gleichung 2)

Dabei sind:

  • p = Druck,

  • = Dichte (Wasser bei 20°C: 999,9 kg/m3)

  • h = Höhe bzw. Höhendifferenz (h)

  • v = Strömungsgeschwindigkeit

Bernoulli-Gleichung:

Bernoulli-Druckgleichung   (Gleichung 3)

Energie (E) wird allerdings erst freigesetzt, wenn durch diesem Druck Arbeit geleistet wird. Die Höhe als solche in der pascal’schen Formel gewinnt energetisch nur an Bedeutung, wenn sie als Höhendifferenz (h) betrachtet wird. In der Betrachtung des Staudrucks ist die Geschwindigkeit (v) die entscheidende Variable, denn die Dichte des Fluidums ist konstant. Auch hier liegt der energetisch relevante Anteil in der Differenz der Geschwindigkeiten vor Eintritt in das System und an dessen Ausgang. Als konstant darf auch der Atmosphärendruck (geodätischer Druck) angenommen werden. Näherungsweise beträgt die Änderung des Luftdrucks in Bodennähe rund 1 hPa auf einer Höhendifferenz von 8 m. Bei Flusskraftwerken oder Anlagen mit geringer Fallhöhe kann daher der atmosphärische Druck in der Berechnung vernachlässigt werden. Auch bei mittleren Anlagen liegen die Einflüsse im Promille-Bereich. Die umgesetzte Energie ermittelt sich aus dem Druck und der resultierenden Volumenänderung des betrachteten Systems:

Energie aus Druck und Volumenänderung   (Gleichung 4)

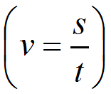
Wird das Volumen als Produkt von (durchflossener) Fläche (A) und dem Weg (s) dargestellt und mit der Zeit erweitert, so lässt sich die Beziehung folgendermaßen als Produkt der Fließgeschwindigkeit

Geschwindigkeit gleich Weg durch Zeit 

und der durchflossenen Fläche darstellen:

Energie-Formel mit der Darstellung des Volumen aus Querschnitt und Fließgeschwindigkeit   (Gleichung 5)

Unter Berücksichtigung dieser Beziehungen kann Gleichung 3 in Gleichung 5 eingesetzt und durch Ausklammern sowie Umstellen der Formel die dem Gewässer entnehmbare entnehmbare Leistung errechnet werden:

Leistung als Energieänderung im zeitlichen Intervall   (Gleichung 6)

bzw.

Umgewandelte Leistungsformel mit Berücksichtigung von Durchfluss, Fallhöhe und Strömungsgeschwindigkeit   (Gleichung 7)

Die Zusammenhänge um Gleichung 5 nachvollziehen zu können, zeigt die Tabelle.

In Gleichung 7 sind in der Klammer zwei wesentliche Summanden zu erkennen, die den jeweiligen Energiegehalt – hier in einer Leistungsgleichung nach Gleichung 6 dargestellt – verkörpern. Der Ausdruck h ist die Fallhöhe zwischen dem Ober- und dem Unterwasserspiegel. Dies entspricht dem potenziellen Energieanteil.

   (Gleichung 8)

Der kinetische Energieanteil (vgl. Gleichung 8) wird nur wirksam, wenn sich die Strömungsgeschwindigkeit nach dem Turbinendurchlauf reduziert. In Gleichung 7 werden zudem mit dem Gesamtwirkungsgrad absolut pauschal die Verluste in den Wasserführungen sowie in der Turbinenanlage erfasst.

Größe Einheit Bezeichnung in der Formel
Spezifisches Gewicht ()  kg/(m2*s2) bzw. N/m3 Das spezifische Gewicht () entspricht dem Produkt aus spezifischer Dichte () des Fluidums und der Erdbeschleunigung (g): gamma = rho * g. Über diese Beziehung kann die Dichte durch das spezifische Gewicht und die Erdbeschleunigung substituiert werden.
 Wassermenge (Q)
auch: Volumenstrom (V-Punkt)
 Meter hoch 3/s  Die Wassermenge (Q) errechnet sich aus dem Produkt der Strömungsgeschwindigkeit (v) und dem durchströmten Querschnitt (A)
 Atmosphärendruckdifferenz p0(h)  hPa  Die Druckdifferenz ist mit Delta p (8m) ist annähernd 1 hPa vernachlässigbar. Der Wert gilt in Bodennähe.
 Leistung P  W  P=dE nach dt

 

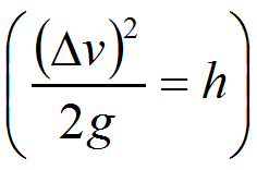
Ausdruck als „Energiehöhe“

Der in Gleichung 8 zu sehende Term beschreibt eine Strecke und kann als Höhe beschrieben und deswegen wie folgt interpretiert werden:

Quadrat des Quotienten aus Geschwindigkeitsdifferenz und doppelter Erdbeschleunigung als Höhe formuliert   (Gleichung 9)

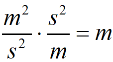
Deutlich wird dies, wenn man die Einheitenprobe macht und für die Geschwindigkeit (v) und die Beschleunigung (g) entsprechend schreibt:

EInheitenprobe    (Gleichung 10)

Die Betrachtung der Gleichung 7 (und 9) zeigt, dass die entnehmbare Leistung durch die Wassermenge (Q) bzw. den Volumenstrom und den energetischen Höhen darstellbar ist. In den meisten Kraftwerksanlagen ist der Anteil der potenziellen Energie für die Energieumsetzung relevant. Dies hängt jedoch vom Kraftwerkstyp ab. Der kinetische Energieanteil wird beispielsweise von unterschlächtigen Wasserrädern oder in reinen Strömungskraftwerken ausgenutzt. Diese lassen sich bei geringen Fallhöhen betreiben, erfordern aber einen großen Durchfluss. Zudem kann der kinetische Energieanteil des aus einer Turbine austretenden Volumenstroms – mithilfe eines als Diffusor ausgeführten Saugrohres – die nutzbare Energiehöhe vergrößern.

Leistung aus dem rein potenziellen Energieanteil:

Potenzieller Energieanteil   (Gleichung 11)

Leistung aus dem rein kinetischen Energieanteil:

Kinetischer Energieanteil   (Gleichung 12)

Die Gleichung 12 beschreibt den rein kinetischen Energieanteil, wie er von einem unterschlächtigen Wasserrad genutzt werden kann. Das Wasserrad bzw. auch ein Strömungskraftwerk bremst die Fließgeschwindigkeit des Fluids. Somit bestimmt die Differenz von Ein- und Austrittsgeschwindigkeit die nutzbare Energie.

Erdbeschleunigung ist keine Konstante!

In Mitteleuropa wird für die Erdbeschleunigung pauschal der Wert von 9,81 m/s2 verwendet. Global betrachtet schwankt der Wert jedoch und beträgt am Äquator 9,78 m/s2 bzw. an den Polen 9,83 m/s2. Werden weltweit Wasserkraftanlagen geplant, ist dies zu berücksichtigen.

(rs/01-2016)