Alternativ dazu kann die Erregung auch mithilfe einer eigenen Erregerwicklung realisiert werden. Die Stärke der Erregung lässt sich durch Variation des Erregerstroms steuern.
Eine weitere Unterscheidung stellt die Bauweise der Maschinen dar: Hier wird zwischen Innen- und Außenpolmaschinen unterschieden. Bei der Innenpolmaschine sind die Erregerwicklungen auf dem Läufer angebracht. Die Ständerwicklungen, die an das Netz angeschlossen werden, müssen nicht über Schleifringe geführt werden. Anders sieht es bei der Außenpolmaschine aus: Hier werden die Leistungsströme der Läuferwicklungen über Schleifringe zu den Klemmen geführt. Der Verschleiß ist entsprechend hoch. Zu erwähnen seien noch die Ausführungen des Läufers als Schenkelpol- oder Vollpolläufer. Der Vollpolläufer – auch Turboläufer – kommt in schnell laufenden Maschinen zum Einsatz, weil die Fliehkräfte besser zu beherrschen sind als bei einer Schenkelpolmachine.
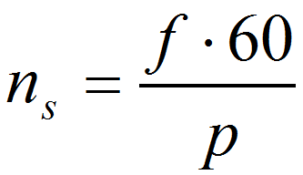
Bei der Synchronmaschine stehen die Netzfrequenz (f) und die Drehzahl (n) der Maschine in direkt proportionalem Zusammenhang. Neben der Drehzahl ist die Zahl der Polpaare (p) der entscheidende Parameter. In der Wasserkrafttechnik ist dies beispielsweise besonders wichtig, weil hier gerne langsam laufende Generatoren – möglichst ohne Einsatz eines Getriebes – verwendet werden. Für die synchrone Drehzahl in Min-1 abhängig von der Polpaarzahl und der Netzfrequenz (50 Hz) gilt:
|
p |
nS [min-1] |
| 1 | 3000 |
| 2 | 1500 |
| 4 | 750 |
| 8 | 375 |
| 20 | 150 |
Synchrongeneratoren können mit sehr geringen Drehzahlen betrieben werden, wenn sie mit einer hohen Polpaarzahl konstruiert werden.
Die Drehzahl der Synchronmaschine ist nicht vom Drehmoment abhängig! Allerdings ist das Drehmoment proportional zum Polradwinkel . Der Polradwinkel beschreibt die Verschiebung der Polradspannung (Up) zur Ständerspannung (Us).
Im Motorbetrieb (elektrische Leistung wird zugeführt und in mechanische Leistung umgesetzt) ist der Polradwinkel negativ.

Stabiler Zustand:

Dagegen wird im Generatorbetrieb mechanische Energie auf die Welle zugeführt und elektrische Energie erzeugt. Der Polradwinkel ist positiv:

Stabiler Zustand:

In einem Kraftwerk wird die Maschine als Generator betrieben. Sie erzeugt aus der aufgenommen mechanischen Energie unter Berücksichtigung innerer Verluste elektrische Energie.

Im Folgenden sei eine verlustfreie Maschine angenommen (=1). Die aufgenommene mechanische Leistung ist dann gleich der abgegebenen elektrischen Leistung. Die mechanische Leistung errechnet sich aus dem Drehmoment an der Generatorwelle und der mechanischen Winkelgeschwindigkeit .
Darstellung der Spannungszusammenhänge von Polrad und Ständerspannung sowie der zugehörigen Ströme im Ersatzschaltbild unter Berücksichtigung des Polradwinkels. Quelle: Dirk Peier, Studienskript „Einführung in die elektrische Energietechnik II“, Kurseinheit 9
Für die elektrische Leistung gilt:

Nach dem Ersatzschaltbild und dem sich daraus ergebenen Zeigerdiagramm kann der Strom Is auch als Spannungsabfall an Ld, dem entsprechenden Blindwiderstand Xd unter Berücksichtigung des Polradwinkels J ausgedrückt werden:

Durch Gleichsetzen der Gleichungen der mechanischen und elektrischen Leistung lässt sich das Drehmoment errechnen, das an der Generatorwelle angreifen muss, um den Bedarf des Netzes zu decken. Dieses wird durch beispielsweise bei einem Wasserkraftwerk über die Wassermenge gesteuert, die auf die Turbinen einwirkt. Hier ist es die Aufgabe des Leitapparates und/oder die Ausrichtung der Turbinenschaufeln, die richtige Wassermenge einzustellen. Die Regelung muss allerdings auch dafür sorgen, dass dass der Polradwinkel nicht größer als 90° wird. Ab diesem Winkel kann die Maschine nicht mehr in den synchronen Betrieb zurück kehren. Man spricht vom „Kippen“.
(rs/02-2012)